The
Mandelbrot set (M) has been called the most complex object in mathematics,
and continues to be the subject of active research. One open question is,
what is the area of M? It is well known that the set is bounded by a circle
of radius 2, centered at the origin of the complex plane. Thus, the area
is certainly less than 4p, or approximately
12.6. Indeed, the area is much less than that. The left-most extent of
the set ends with the spike at x = -2, and the right side extends out to
approximately x = 0.47. The top and bottom are at approximately y = ±
1.12, respectively. This bounding rectangle has an area of about 5.5, and
even this is a gross overestimate, as shown. Here, M is rendered in a binary
fashion: points inside the set are colored black and points outside the
set are white.
Attempts to determine the area of M have generally involved "pixel counting," wherein M is approximated by a set of points or pixels, and the number of points determined to be inside the set is directly related to the area estimate. Other approaches have been tried, such as finding the area as the result of a series calculation, or finding the area of the periodic components that comprise the interior of the set. Robert Munafo provides a history of attempts at his Mu-ency site.
Specifically, the number of points and the number of iterations were both related to a "class" parameter. As this parameter increased, so did both the number of points and the maximum number of iterations. In concept, as the class parameter grew to infinity, the estimates of the area should converge to the true area.
For this work, each estimate came from an Ultra Fractal image of M. The square image was centered at approximately (-0.75, 0) with a magnification of 4/3. This gave a real axis range of about -2.25 to 0.75, and an imaginary axis range of about -1.5 to 1.5. M was embedded in a square of area 9. The standard Mandelbrot formula was used, in one-pass linear mode, with periodicity checking turned off. The starting point was (0, 0), power was (2, 0), and the bailout set to 4. Since every pixel was calculated and a simple "inside/outside" determination was all that was needed, no coloring algorithms were used on the inside or outside pixels (transfer function = "none"). No anti-aliasing was used.
The number of pixels on a side of the square was 2class, and this was also the maximum number of iterations. For example, if the class was 8, then each image was 256 pixels on a side, and the maximum iterations was also 256.
For each class, many images were generated. What differentiated the images in the same class was the exact center. It was offset in the real and imaginary directions from the approximate center of (-0.75, 0). The amount of the offset was "randomly" chosen (using a standard random number generator) and was less than the distance between adjacent pixels. Once the image was rendered, it was saved as a Targa file. Then, a separate program interrogated the file and determined the number of pixels inside the set, on the basis of their color. The area was estimated by finding the ratio of inside pixels to total pixels, then multiplying that by the area of the square, 9.
Once it was determined to use the "One-pass Linear" drawing method, several runs were made using single layer images. Points inside the set were colored black and outside points were white, both using the solid color settings. Due to the choice of programming environment, the counting of pixels in the image proceeded much more slowly than the rendering of the images. Consequently, it was decided to employ multi-layered images. Each layer had its own random center point and was essentially an individual datum.
In order to maintain the individuality of each layer for statistical analyses, the pixel coloring was adjusted. First, the scheme was reversed such that outside pixels were colored black, and inside pixels were non-black. Then, the 24-bit nature of Targa files was exploited. Each pixel is represented by 3 bytes, one each for the red, green, and blue components of the pixel's color. A byte can represent 28 levels of intensity, or 8 distinct bits of information. One bit was used for each layer and was set to 1 if the pixel was inside the set or 0 otherwise. Each layer's inside solid color was set to a power of 2 for one component only, and 0 for the other two components. The layers were combined using the "Addition" merge mode, insuring that 24 layers could be stored in one image, and each layer's data retrieved intact afterwards.
The
final improvement in efficiency came from a version of periodicity checking.
(The image on the left shows it being applied to the period 3 disk on top
of the main cardioid.) The boundary of the main cardioid is well known,
as is the boundary of the large disk centered at -1. Any pixel located
in either of these regions is known to be inside M. It can be counted as
inside and not calculated, saving quite a bit of time. The other periodic
components (disks and small cardioids) have boundaries that are much more
difficult to determine exactly. Instead, small circles can be placed inside
them such that, if the pixel is inside the circle, and the circle is entirely
inside the disk or cardioid, then the pixel is in M and need not be calculated.
The circles represent transforms that set the #solid color flag if the
pixel was inside. While the solid color is shown red here, it was set to
the same color as the inside solid color on each layer.
There
was overhead involved with checking each pixel for membership in the periodicity
circles, which added to the overall calculation time. For each class, there
was a maximum number of circles that could be used before the overhead
outweighed the savings in not iterating every pixel. The class 8 runs had
only the main cardioid and period 2 disk at -1 checked. For class 13 and
14 runs, the main cardioid and 8 disks were checked, as shown. While the
red and white points are in the Mandelbrot set, only the white points were
actually calculated.
Listed in the below table are:
|
|
|
|
|
|
|
|
|
|
|
|
|
|
|
|
|
|
|
|
|
|
|
|
|
|
|
|
|
|
|
|
|
|
|
|
|
|
|
|
|
|
|
|
|
|
|
|
|
|
|
|
|
|
|
|
|
|
|
|
|
|
|
|
|
|
|
|
|
|
|
|
mean = A + B 2-class
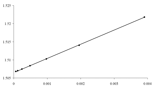
Where A and B are constants to be determined by fitting the data. In this form, the relationship is linear if the independent variable is taken to be 2-class, instead of the class itself. Then, simple linear regression tools can be used to determine the best fit A and B. A is the value of the mean when 2-class is zero, or the class equals infinity. Thus, A is an estimate to the true area of M. B is the rate at which the area estimates increase with decreasing class size. This is related to how the numbers of pixels and iterations vary with the class.
As the plot below shows, the data are quite well modeled by this formula. The mean is plotted vertically against 2-class on the horizontal axis. The least-squares analysis returned:
A = 1.506484193
B = 3.909157877
R2 = 0.9998653
Since the measurements used to determine A were statistical in nature, it's reasonable to ask how good this estimate of A is. To do this, the standard error was used. This was the standard deviation divided by the square root of the count. In general, it reflects how the variation in the sample mean decreases with increasing sample size.
For each class, the mean and standard error provided the population parameters for a set of random numbers. One thousand random numbers were generated for each class. Then, a set of 7 points was created by taking one random number from each class. A line was fitted to these data and the intercept became a new random variable. From this analysis, the mean of the intercepts agreed with the A value given above to 0.000003%, and the standard deviation was approximately 2.2 10-6. As formulated, this really represents a standard error, so the 95% error tolerance is 4.35 10-6. Thus, it is concluded that the area of the Mandelbrot set is approximately 1.506484, with a 95% confidence interval from 1.506480 to 1.506488.
